Observer-Based Adaptive Neural Tracking Control for a Class of Stochastic Nonlinear Systems
Image credit: Yuqun Han摘要
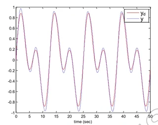
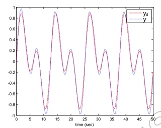
In this paper, an observer-based adaptive neural tracking control approach is proposed for a class of stochastic nonlinear systems with immeasurable states. The radial basis function neural networks (RBFNNs) are used to approximate the unknown nonlinear functions, and a linear reduced-order state observer is designed for estimating the unmeasured states. Based on the designed the state observer, an adaptive neural output feedback control approach is developed via backstepping control design. It is shown that the proposed controller ensures that all signals of the closed-loop system remain bounded in probability, and the tracking error converges to an arbitrarily small neighbourhood around the origin in the sense of mean quartic value. Finally, two examples are given to illustrate the effectiveness of the proposed design approach.
类型
出版物
International Journal of Control
Adaptive Tracking Control
Neural Networks
Output-Feedback
Reduced-Order State Observer
Stochastic Nonlinear Systems
其他

Authors
讲师
博士,讲师,硕士生导师,2018年9月毕业于东南大学控制理论与控制工程专业,获工学博士学位。主要研究方向为非线性系统分析与综合、智能控制、容错控制、神经网络控制等。主持山东省自然科学基金青年项目1项,复杂工程系统测量与控制教育部重点实验室开放课题1项。指导学生参加全国大学生数学建模竞赛、中国研究生数学建模竞赛等各类竞赛获国家一等奖1项、国家二等奖3项、国家三等奖1项、山东省一等奖12项、山东省二等奖6项、山东省三等奖2项。目前是青岛市人工智能海洋技术创新中心、青岛科技大学数学与交叉科学研究院和数理学院智能控制与机器视觉技术研究中心核心成员。

Authors
正教授
博士,教授,硕士生导师,人工智能技术海洋场景化应用山东省工程研究中心副主任,青岛市人工智能海洋技术创新中心副主任,青岛科技大学数学与交叉研究院副院长。山东赛区数学建模竞赛专家组成员、山东省数学会理事、山东省应用统计学会理事、人工智能海洋学专业委员会委员。近年来,主持或参与国家自然科学基金、省自然基金、省教改项目等各类教学科研项目20多项,在国内外期刊发表学术论文80余篇,其中被SCI、EI检索70余篇,参编教材1部。指导学生参加全国大学生数学建模竞赛、中国研究生数学建模竞赛、美国大学生数学建模竞赛等各类竞赛获国家一等奖9项、国家二等奖29项、国家三等奖13项、山东省一等奖37项、山东省二等奖12项、山东省三等奖7项。指导本科生参加国家大学生创新计划项目4项。

Authors
正教授
教授,博士生导师,哈尔滨工业大学博士后。数据科学与信息技术研究中心主任,人工智能海洋技术场景化应用山东省工程研究中心主任,青岛市人工智能海洋技术创新中心主任,青岛科技大学数学与交叉研究院院长。美国佐治亚理工学院高级访问学者、香港中文大学高级访问学者、北京交通大学高级访问学者;山东省数学会常务理事、山东省应用统计学会常务理事、人工智能海洋学专业委员会常务委员。近年来,主持或参与国家自然科学基金、国防科工委、电子工业部、省自然基金、省重点科研计划、省高校科研计划、省优秀中青年科学家基金、青岛市科技发展计划项目等各级各类科研项目40多项。