“Adaptive Backstepping-Based Sampled-Data Tracking Control with Prescribed Performance for Switched Nonlinear Systems”
Image credit: Simin Liu摘要
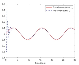
In this paper, the problem of sampled-data adaptive tracking control for a class of switched nonlinear systems with prescribed performance is considered. In order to guarantee the system is stable and achieves the prescribed performance in sampled-data control, a coordinate transformation satisfying the prescribed performance is introduced. In addition, the neural networks (NNs) used to approximate the unknown nonlinear functions and the backstepping technique are applied to design the sampled-data controller and the adaptive laws. An upper bound on the sampling period is obtained to maintain the stability of the systems. It is confirmed that the designed sampled-data scheme ensures that all signals of the closed-loop system are semi-globally uniformly ultimately bounded (SGUUB) and the tracking error is limited to the prescribed performance function. The effectiveness of the designed control scheme is demonstrated by two simulation examples.
类型
出版物
International Journal of Control
Sampled-Data Contorl
Prescibed Performance
Switched Nonlinear Systems
Adaptive Contorl
Neural Networks
其他


Authors
正教授
博士,教授,硕士生导师,人工智能技术海洋场景化应用山东省工程研究中心副主任,青岛市人工智能海洋技术创新中心副主任,青岛科技大学数学与交叉研究院副院长。山东赛区数学建模竞赛专家组成员、山东省数学会理事、山东省应用统计学会理事、人工智能海洋学专业委员会委员。近年来,主持或参与国家自然科学基金、省自然基金、省教改项目等各类教学科研项目20多项,在国内外期刊发表学术论文80余篇,其中被SCI、EI检索70余篇,参编教材1部。指导学生参加全国大学生数学建模竞赛、中国研究生数学建模竞赛、美国大学生数学建模竞赛等各类竞赛获国家一等奖9项、国家二等奖29项、国家三等奖13项、山东省一等奖37项、山东省二等奖12项、山东省三等奖7项。指导本科生参加国家大学生创新计划项目4项。

Authors
讲师
博士,讲师,硕士生导师,2018年9月毕业于东南大学控制理论与控制工程专业,获工学博士学位。主要研究方向为非线性系统分析与综合、智能控制、容错控制、神经网络控制等。主持山东省自然科学基金青年项目1项,复杂工程系统测量与控制教育部重点实验室开放课题1项。指导学生参加全国大学生数学建模竞赛、中国研究生数学建模竞赛等各类竞赛获国家一等奖1项、国家二等奖3项、国家三等奖1项、山东省一等奖12项、山东省二等奖6项、山东省三等奖2项。目前是青岛市人工智能海洋技术创新中心、青岛科技大学数学与交叉科学研究院和数理学院智能控制与机器视觉技术研究中心核心成员。