公众能否准确评价政府环保成效——基于CGSS2015的实证分析
2019年9月1日·,
·
0 分钟阅读时长
Ming Chang
Yunxiao Xi
宫响

摘要
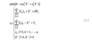
文章基于2015年中国综合社会调查数据和省际截面数据,采用SE-DEA和Ologit模型结合的方法实证研究了公众对政府环保成效的满意程度。结果表明,公众无法准确评价政府环保成效,并且在政府环保成效较高的地区,公众对政府环保工作满意程度评价有下降趋势。此外,环保投资率、环保劳动力投入率以及环保工资的比率与政府环保工作的公众满意度均为正向相关关系。因此,提升公众对环境质量改善的感知程度,增加环保事业投资,加大环保工作人力资源投入和提升环保工作人员工资水平对提升公众的政府环保工作满意度均有积极作用。
类型
出版物
生态经济

Authors
副教授
中国海洋大学博士,博士后,现任数学系副主任兼应用数学教研室主任,青岛市人工智能海洋技术创新中心骨干,发表高水平论文40余篇,承担国家自然科学基金、国家博士后基金、青岛市博士后基金以及人工智能技术开发项目等10余项。多次获得“青岛科技大学先进工作者”、“青岛科技大学先进女职工”、青岛科技大学毕业生“我最喜爱的教师”等荣誉称号;指导本科生和研究生参加数学建模竞赛,获得省级以上奖项10余项;主持参与多项研究生和本科生课程教改项目。