中国“十二五”期间环境规制效率时空差异与驱动机制研究
2019年7月15日·,,
Ming Chang
Yunxiao Xi
Bingran Ma
宫响
Corresponding
·
0 分钟阅读时长
摘要
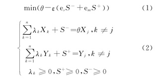
运用超效率数据包络分析法(SE-DEA)模型和固定效应回归模型探究中国"十二五"期间环境规制效率的时空差异和驱动机制。结果表明:(1)"十二五"时期,中国的环境规制综合效率平均值在0.86~1.16范围内波动,产生波动的原因主要是投入的环境保护资源被利用的程度不同。(2)"十二五"时期,中国环境规制综合效率、纯技术效率和规模效率均呈现东部地区$>$西部地区$>$中部地区的空间差异,东部地区综合效率主要受规模效率的影响,中部地区综合效率主要受纯技术效率的影响,西部地区没有明显的规律性。(3)"十二五"时期,在环境规制综合效率层面,政府干预程度是调节中国环境外部性的正向驱动机制,环境治理投资程度和开放程度则为负向驱动机制。
类型
出版物
环境污染与防治

Authors
副教授
中国海洋大学博士,博士后,现任数学系副主任兼应用数学教研室主任,青岛市人工智能海洋技术创新中心骨干,发表高水平论文40余篇,承担国家自然科学基金、国家博士后基金、青岛市博士后基金以及人工智能技术开发项目等10余项。多次获得“青岛科技大学先进工作者”、“青岛科技大学先进女职工”、青岛科技大学毕业生“我最喜爱的教师”等荣誉称号;指导本科生和研究生参加数学建模竞赛,获得省级以上奖项10余项;主持参与多项研究生和本科生课程教改项目。