Calibration Transfer of Soil Total Carbon and Total Nitrogen between Two Different Types of Soils Based on Visible-Near-Infrared Reflectance Spectroscopy

摘要
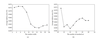
Although visible-near-infrared spectroscopy can rapidly and accurately determine soil nutrients without sample destruction,some problems remain unresolved, such as the mismatch of the established spectral model with different types of samples, limitingthe wide application of this technology. Here, we took riverside and mountain soils as examples to explore the calibration transferbetween two different types of soils by the WMPDS-S/B algorithm (wavelet multiscale piecewise direct standardization combinedwith Slope/Bias correction method) and by adding new samples. .e predicted TN and TC concentrations improved significantly after being transformed. Compared with adding new samples, the WMPDS-S/B algorithm obtained more accurate results. .eaverage relative errors dropped from 440.2% (without transformation) to approximately 6% for TN and from 342.0% to approximately 7% for TC. .e maximum relative errors were reduced from 538.1% to less than 20% for TN and from 403.7% to less than 20% for TC. .e RMSEP decreased from 2.42 to approximately 0.04 for TN and from 15.74 to approximately 0.4 for TC. .e WMPDS-S/B algorithm had advantages in selecting fewer known samples and obtaining better prediction results. In contrast to past studies, which resolved the calibration transfer between different spectrometers and the measurement environment for the same samples, our study resolved the calibration transfer between different types of samples under the same spectrometer and the measurement environment. .e former could only be used for correction among instruments, while the latter fundamentally solved the problem of model sharing across different samples.
类型
出版物
Air Quality, Atmosphere & Health