市场失灵

中国“十二五”期间环境规制效率时空差异与驱动机制研究 featured image

中国“十二五”期间环境规制效率时空差异与驱动机制研究

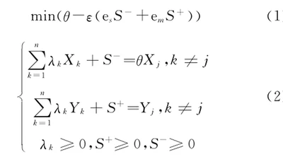
运用超效率数据包络分析法(SE-DEA)模型和固定效应回归模型探究中国\"十二五\"期间环境规制效率的时空差异和驱动机制。结果表明:(1)\"十二五\"时期,中国的环境规制综合效率平均值在0.86~1.16范围内波动,产生波动的原因主要是投入的环境保护资源被利用的程度不同。(2)\"十二五\"时期,中国环境规制综合效率、纯技术效率和规模效率均呈现东部地区 …

Ming Chang