公众能否准确评价政府环保成效——基于CGSS2015的实证分析
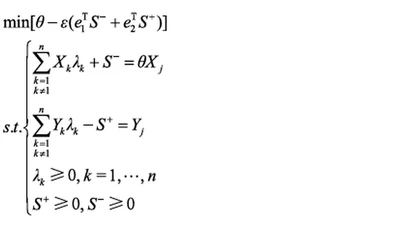
文章基于2015年中国综合社会调查数据和省际截面数据,采用SE-DEA和Ologit模型结合的方法实证研究了公众对政府环保成效的满意程度。结果表明,公众无法准确评价政府环保成效,并且在政府环保成效较高的地区,公众对政府环保工作满意程度评价有下降趋势。此外,环保投资率、环保劳动力投入率以及环保工资的比率与政府环保工作的公众满意度均为正向相关关系。因此,提升公众 …
Ming Chang
文章基于2015年中国综合社会调查数据和省际截面数据,采用SE-DEA和Ologit模型结合的方法实证研究了公众对政府环保成效的满意程度。结果表明,公众无法准确评价政府环保成效,并且在政府环保成效较高的地区,公众对政府环保工作满意程度评价有下降趋势。此外,环保投资率、环保劳动力投入率以及环保工资的比率与政府环保工作的公众满意度均为正向相关关系。因此,提升公众 …