Data-Driven

Multi-Routine-Data Driven Spatio-Temporal Short-Term Predictions for Surface Ozone in China featured image

Multi-Routine-Data Driven Spatio-Temporal Short-Term Predictions for Surface Ozone in China

Ozone (O3) is a major atmospheric pollutant, and accurate prediction of its concentrations remains challenging due to its complex nonlinear relationships with precursor compounds. …

Canju Zheng
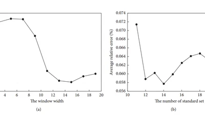
Calibration Transfer of Soil Total Carbon and Total Nitrogen between Two Different Types of Soils Based on Visible-Near-Infrared Reflectance Spectroscopy featured image

Calibration Transfer of Soil Total Carbon and Total Nitrogen between Two Different Types of Soils Based on Visible-Near-Infrared Reflectance Spectroscopy

Although visible-near-infrared spectroscopy can rapidly and accurately determine soil nutrients without sample destruction,some problems remain unresolved, such as the mismatch of …

Xue-Ying Li