Linear Map Preserving the Right Spectrum of Quaternion Matrices
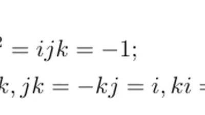
Let and be a right quaternion linear map from the set of matrices over the quaternion division ring into itself such that the set of matrices over the complex field is invariant …
Deyu Duan
